ようこそDr.町田のホームページへ
令和7年ミニコラム

★善意が生んだ殺人
8月17日放送の大河ドラマ「べらぼう」では、蔦重が、飢餓に苦しむ新之助夫婦に米を持っていった。ところがこれがあだとなり、妻のふくは、新之助一家に米があることを知った物取りに殺されてしまった。反射的に行ってしまった殺人に、ひたすら謝り続ける、殺人者夫婦、響く赤ん坊の声、新之助は、誰を恨んでいいのか、わからない。それがかえって、彼に苦痛を与えてしまった。

蔦重の好意による行為がなければ、起き得ない事件だった。

この事件は非常に極端であるが、世の中には、ひと様のために良かれと思ってしたことが、かえって相手を傷つけてしまうことはよくあることで、気を付けなければならない。

さて、世界史的観点からすると、蔦重の好意→ふくの死亡を天文学的なものにした人が、かのレーニンであると言える。彼は、尊敬する兄が、当時のツァーリ体制の下で死刑に処されたとのことで、ツァーリがいない社会を目指すようになった。

自身は農奴などではなく、経済的余裕はあった貴族出身であったわけで、まさに蔦重と同じような立場にあったと言える。

彼の施しは、革命の成就であった。結果の平等を実現する社会を作ることが、人類の生活を良くする、と信じて、革命を行った。

だがその結果は・・・

結果における平等主義は、結局のところ、人類に惨憺たる結果をもたらした。仮に、ロシア革命が失敗し、レーニンらボルシェビキが一掃され、ロシアにおけるツァーリ体制が続いていれば、第一次大戦後も三帝国(ロシア、オーストリア=ハンガリー、ドイツ)は残っていただろう。そうであれば、ヴェルサイユ条約はよりドイツに寛容なものとなり、世界恐慌はやむを得なかったかもしれないが、社会主義国の優位などはなく、世界は平等に苦しみ、そこから新たな経済体制(具体的にはケインズ主義)が出現し、少なくとも第二次大戦は起こらなかっただろう。ドイツも、ヒトラーは必要とせずに済んだであろうから。

確かにロシアは、ツァーリ体制に倦んでいた。しかし、ボルシェビキが必ずしも世論の支持は得ることができず、レーニンは憲法制定議会を解散せざるを得なかった。そもそも、レーニンが、きっと支持してくれるだろうと考えていた農民層が、まったく支持しなかったのだ。

結果的にレーニンは、独裁体制を取らざるを得なくなり、これがまた、ほれ、これがマルクス先生が唱えたプロレタリア独裁だよ、とやったものだから、結局独裁がずっと続くことになってしまった。

レーニンの大失敗は、結局のところ、規模は全く異なるが、蔦重の、新之助夫婦への施しと根が一緒なのである。

大はレーニンから小は蔦重まで、ひと様に施すことは、基本的には良いことではない、と私は考える。

魚を与えるのではなく、魚の取り方を教える、のである。


★問題は、誰が殺したのか、である
(朝日新聞社説)朝鮮人虐殺 今こそ向き合う姿勢を
2025年8月30日 5時00分


 自治体の長として誓いを新たにすべき時に、目を背ける姿勢は全く納得できない。

 東京都の小池百合子知事は、関東大震災の直後に虐殺された朝鮮人犠牲者を追悼する9月1日の式典に、追悼文を送らない考えだ。1974年に追悼式典が始まって以来、歴代知事は送ってきた。だが小池氏は知事就任年に送ったものの翌年取りやめた。見送りは9年連続となる。

 理由は「都慰霊協会主催の大法要ですべての犠牲者に追悼の意を表している」と説明する。しかし関東大震災の教訓は災害史に残る大災害という点にとどまらない。「朝鮮人が井戸に毒を入れた」などの流言が広がり、民衆でつくる自警団や軍隊、警察により朝鮮人や中国人が殺された。

 政府の中央防災会議の報告書は「震災による死者数の1~数%にあたり、人的損失の原因として軽視できない」と書いている。

 自然災害の死と人の手で奪われた命は違う。千葉、埼玉両県の知事は犠牲者への追悼文を送る意向だ。二度と起こさない決意を示す意味でも、為政者として当然の姿勢だ。

 今、この史実に目を向ける意味は大きい。先の参院選では、外国人政策の厳格化を訴える党が相次いだ。SNSでは「外国人が治安を悪化させている」「不当に生活保護を受けている」といった根拠不明の情報が目につく。人々の不満が排外的な動きを招く構図は、大震災時に起きたできごとを想起させる。

 人は極度の不安に陥ると、心の内の差別感情が表出し、少数者に原因を求めようとする、ともいう。普通の生活を送ってきた人が、特定の民族を血祭りにあげる行動に走った。その危うさに向き合い、主体的に語り継がなければ、同じことが起こりうる。

 一昨年、政府は国会や会見で「政府内に事実関係を把握できる記録は見当たらない」と、あいまいな答弁を繰り返した。歴史の抹殺につながりかねず、受け入れがたい。政府は犠牲者の正確な人数も把握していない。調査の上、謝罪も検討してはどうか。

 能登半島地震では「外国人窃盗団が集結している」といった偽情報がSNSで拡散。同様のことは東日本大震災でも起きた。昔話と考えず、102年前の歴史を忘れず、記憶にとどめねばならない。

 小池氏の送付の中止以後、史実に疑問を呈する団体が追悼式の日に集まり、騒然とした時もあった。この状況を招いた責任は大きい。他民族へのヘイト行為を許さず、誤情報をただし、偏見や差別をなくすことは政治の責任だ。
関東大震災の時には、三原山が噴火しただの、他にもさまざまなデマや流言が飛んだ。

当時はラジオさえなかったわけだし、さまざまなメディアが発達した現代においてなお、こうしたデマが皆無にはならないわけだから、当時、このような自体になったことを反省する意味合いはない。

つまり、犠牲者の正確な人数をいまさら調査する必要もないし、ましてや、謝罪などしてはいけないのだ。

問題は、”誰が”虐殺をしたのか、ということ。この点において、朝日新聞は、「軍隊、警察により朝鮮人や中国人が殺された」と書いており、まったく史実を歪曲している。

ここでとりあえず、国家による謝罪について考えてみよう。たとえば、民間レベルでの組織的犯罪が外国で行われた場合、国家は謝罪する必要はあるのか?

そんなことはあり得ない。むしろ国家が謝罪をしたら、その国にはそもそもの自由がない国であることの証となってしまう。〇〇の自由が憲法で保証されている国であれば、その結果責任は本人が負うのであり、法に基づいた処罰などは行われるにせよ、国家が本人に代わって謝罪することはあり得ない。

そして朝日新聞とて、これくらいのことはわきまえているだろう。ではなぜ、日本政府に謝罪要求をするのか?

それは、朝日新聞が社説に書いているように、虐殺が国家自身によって行われた、と考えているからである。朝日新聞によれば、当時は警察や軍隊が組織的に朝鮮人虐殺を行ったことになっている。

だが無論、事実に反する。当時の警察や軍隊は、こうした”民間組織による”犯罪を取り締まる立場にあり、それを行っていた。警視庁は、以下のような触書を出していた。


軍隊もまた、災害対処に全力を出した。当時、演習中だった戦艦長門は、全速力で東京に救援物資を持って駆け付けた。そのために、長門の最高速度の機密が英国にばれてしまったが、軍隊は、国家機密よりも、人民救援を優先したのだった。そんな軍隊が、わざわざ国家問題になるような朝鮮人虐殺など、やるわけがないだろう(ちなみに、昭和58年の大韓航空撃墜事件の折にも、自衛隊は国家機密よりも、ソ連の撃墜証明を優先させた)。

この問題については、山川出版社の教科書にも、「官憲が朝鮮人虐殺を行った」と書かれており、きわめて由々しき問題であると言える。

いずれにせよ、朝日新聞の事実誤認はきわめて遺憾であり、やはり、社会に害悪をまき散らすこの新聞社は、早くつぶれてほしいと思う。


■民主主義は市場に悖る
【ヤフコメで話題】「物価高と医療機関の経営悪化に危機感」「診療報酬の見直しや減税を求める声」 - 物価高が医療現場に与える影響が議論に
9/18(木) 8:33配信
Yahoo!ニュース オリジナル THE PAGE


なにがあった?
物価高が医療機関の経営に与える影響について、Yahoo!ニュースのコメント欄で話題になっています。
ユーザーコメントでは、医療機関が物価高や人件費の上昇、消費税負担の増加などによって経営が悪化し、赤字や閉院が増えているという意見が見られます。
診療報酬が物価やコストの上昇に追いついていないことや、医療従事者の待遇悪化、地域医療の崩壊への懸念も指摘されています。
また、診療報酬の見直しや減税など、国による抜本的な物価高対策を求める声も寄せられています。

みんなの反応
- 物価高と人件費の上昇で医療機関の経営が厳しくなっていると感じます。
- 診療報酬が据え置きのままでは、医療現場が持たないのではと心配です。
- 国には物価高対策や診療報酬の見直しなど、早急な対応を求めたいです。
>医療機関が物価高や人件費の上昇、消費税負担の増加などによって経営が悪化し、赤字や閉院が増えている

ではどうすればよいか?「診療報酬が物価やコストの上昇に追いついていない」のだから、診療報酬を引き上げれば解決するでしょう。

では、診療報酬を引き上げればどうなるか? そう、医療費が増える。その結果、その医療費を支えるための保険料を増やさざるを得ない。つまり一般人の手取りが減る。

では、手取りを減らさないために、すなわち保険料を増やさないためにはどうしたらいいか?

結局、公費負担を増やすしかない。ではその公費のもとは?そう、税金。つまり、公費負担を増やすためには、増税をするしかない。あれ?しかし・・・

記事では増税ではなく、減税が求められている。要するに、診療報酬の見直し(引き上げ)をすると、増税するしかないんだけど。

要するに、みんなの反応は、不可能な政策を求めているわけ。診療報酬をは引き上げてほしい、でも医療費は上げないでほしい、上げるんだったら、公費負担を増やしてほしい、そのためには増税が必要だけど減税してほしい、では国が持ちません。ただ野党はこれを主張して、選挙に勝った。これぞまさに、衆愚主義!

むろん、山本太郎や国民民主が主張するように、増税は必要ありません、国債発行でまかなえばいいんです、という考えもある。

しかし、無理な減税をして、その分を国債に、という安易な考えで、大失敗した英国首相がいた。

もしも次の政権が大規模な減税をすれば、英国の場合同様、市場が回答を示すことだろう。つまり民主主義は市場に悖る、のである。市場が衆愚を矯正する、と言ってもよい。市場はある意味、英知の塊。衆愚で国が亡びるのを、市場が守る。




★子供の自由を尊重することについて
子どもの「宿題」は廃止すべき? 親の意見がきっぱり"二分化"。「反宿題のスタンス」をとる家庭が増加傾向
9/4(木) 19:20配信
Harper’s BAZAAR(ハーパーズ バザー)


日本でも「夏休みの宿題をゼロにする」方針をとる小学校が急増しており、世界中で注目される「宿題問題」。9月1日、アメリカの人気YouTuberカイ・セナトが主催するライブ配信チャンネル『Mafiathon 3』にゲスト出演したリアリティスターのキム・カーダシアンは、まさにこの"子どもの宿題"というトピックで注目を集めた。

生配信中にカイは、彼の跡を追って「ゲーム配信者になりたい」と願う子どもたちについて言及。子ども達に対し「今は勉強に集中してくれ。ネットでゲームをすることに夢中になる前に、目の前にある忌々しい宿題を片付けろ!」と熱く語った。

すると、キムは「あら、私は宿題なんて信じない」と反論。元夫カニエ・ウエストとの間にノース、セイント、シカゴ、サームの4人の子どもを持つ母であるキムは「子どもたちは1日8時間も学校にいる。帰宅してから習い事にいったり、部活でスポーツをしている子たちもいると思う。ならば、残りの時間くらいは自分の時間や、家族と過ごす時間も必要だと思う」と反論した。

このキムの発言は、すぐさまネットで賛否両論を巻き起こし、彼女の意見に賛成するファンもいれば、反対しカイに賛成するファンもいた。

【反対派の意見】
・私は教師をしているけど、12歳で読み書きもできない生徒たちを毎日見ている立場から言わせてもらえば、宿題は絶対に必要! 親はそばにいて、宿題をちゃんと終わらせるようにするべき。学校の授業はあくまで合同で進める授業だから、一人ひとりのペースに合っているとは限らない。学校では受けられない個別指導を家で受けられるように親がサポートしてあげるべきよ。

・彼女(キム)のような考えの親がいるから、2000年以降に生まれた子どもたちは筆記体の読み書きどころか、スペリングもできない。学力は著しく低下していると思う。

【賛成派の意見】
・キムのような反宿題のスタンスをとる家庭は、年々増えていくと思う。長期休暇中はとくに宿題が多くなる傾向にあるけど、受験のために塾へ通っている子もいるし、学校が出す全ての宿題が絶対に必要とは思えない。

・私の子どもが通う学校は宿題を禁止していて、とてもいいと感じている。帰宅したら荷物を置いて、外で遊んで、子どもらしく泥んこになって帰ってくる。子どもにとっては学校は仕事みたいなもの。大人が仕事を家に持ち帰らないのと同じ理由で、子どもも学校のことを家に持ち帰るべきじゃないと思う。

キムはこうした世間の議論に対しまだ反応を示していない。
さて、あなたはどう思う?
この記事を読んで、医学生時代に、私たち学生に寄り添ってくれていた副学長の話を思い出した。彼が言うには・・・

私は、本当は君たちに試験などはしたくはないのだ。もしも君たち全員が、試験で常に90点を取ってくれるようになったら、試験を廃止したい

これに対して学生側の意見は、「でも試験がなかったら、私たちは絶対に勉強しないだろう。そうしたら、医師国家試験の合格も難しくなるに違いない(だから試験は続けてください。いやだけど)」。

学力が高いはずの医学生レベルにして、こうした実態である。そもそも、人間が、授業で習った事をそのまま消化できること自体、あり得ないこと。ほぼ100%の人間は、授業で習ったことを授業時間内だけで理解することは困難であり、強いられてであろうと自主的にであろうと、何らかの自己学習が必要となる。また、専門分野の勉強となると、授業だけでその内容をすべて教授すること自体が困難であり、教科書を読んで自分で勉強する必要もある。

小学生レベルだと、地頭の良い子(医大に現役か一浪くらいで入れる人)ならむしろ、宿題は要らないだろう。彼らは、小学校の学習内容なら、授業だけで理解でき、宿題はむしろ弊害の方が大きい。すでに理解しきっていることを再度勉強するわけだから。

彼らのレベルなら、宿題など出さず、進学塾などに通わせて、もっと高度な、あるいは先取りした学習をさせた方がよい。つまり、宿題廃止は、一部のできる子にだけメリットがあるのだ。

大部分のふつーの子はどうか。彼らに宿題を課さなければ、授業内容が消化されないままに進級していくことになる。いやいやでも宿題をこなすことで、授業内容が理解されていくのに、それを廃止することは結局、彼ら(ふつーの子)に、学習内容を理解する機会を失わせることになるのだ。

ただし、一部の、学習障害レベルの子にとっては確かに、宿題廃止は朗報と言える。失礼ながら彼らの知的レベルでは、そもそも、いかに学習方法を工夫してみても、授業内容は理解できないからだ。つまり彼らにとっては、宿題は百害あって一利なし。

私が塾講師をしていた時、K君という、こうしたレベルの子が混じっていた。彼はそもそも、アルファベットを理解できなかった。たとえば、aという文字を教えても、彼は印刷記号をそのままノートに写す。つまり文字そのものが理解できない。

中一で、当時は今とは違って、どの子もはじめでアルファベットに接していたので、条件は一緒だった。他の子がどんどんアルファベットを覚えていく中、K君はすでにその時点で英語につまづいたのだ。

彼にとっては、理解ができない学校の授業を受けたり、塾に行くことは苦痛でしかなかっただろう。親は少しでも学力が向上すれば、と考えて塾に入れたのだろうが、塾にとってはお客さんでしかなく、かわいそうだったが、彼にとっては塾に行く価値はゼロであり、講師をしていて、親に気の毒だった。

ただ彼の名誉のために言えば、彼はとても剽軽で、あだ名がつけられて、教室内では人気があった。お客さん状態でも、それが苦であるような感じではなかった。

そもそも、勉強が好きでたまらない、などという人は、歴史に名を遺すような偉人や学者だけであり、医学生レベルでさえ、いやいや勉強をしているものだ。

●子供の自由を尊重するとはどういう意味か?
昔、あるテレビ番組で、子供は自由に生きましょう、いやな勉強などする必要はありません、学校は行きたい人だけば行けばいいんです、と仮定したものがあった。当然のことながら、そんなことをしたら、将来、社会を維持することはできなくなる。

問題は、子供にはそれがわからない、ということだ。なぜいやいや勉強する必要があるのか、子供には理解できない。

ここが前述の、医学生の勉強嫌いとは決定的に異なることで、医学生は、勉強はあまり好きではないが、将来医師となるためには、業務遂行ができるための知識を身につけなければならず、国家試験に通らなければならず、だからいやいやながらでも勉強は必要だ、ということは理解している。だから、試験は続けてくれ、ということになる。

小学生レベルでは、彼らの意見を尊重すれば、勉強はしなくなり、そもそも、いやだと思うことをしなくなる。

だからこそ、モノがわかっている大人は、学校を作り、授業でモノを教え、それを定着させるために宿題を課してきた。子供は、いやなことでもしなければならないことを、大人になって初めて理解できる。

自由にさせられた子供は、その時は喜ぶかもしれないが、大人になった時、間違いなく、親や教師を恨むだろう。「なぜ私たちのわがままを通させたのか。なぜ、いやいやでもやらないことがあることをわからせてくれなかったのか」と。

確かに、エジソンのように、学校という枠に収まらない天才はいる。だがそうした人は例外中の例外であり、自分の子供に真似をさせてはいけない。

少なくとも、前述した、明らかな学習障害、発達障害があることが明らかな子ども以外は、その自由を尊重させてはならず、ある程度は型にはまったことをさせなければならない。






★松岡洋右の更迭について
高尾栄治著「日米開戦の真実」は、戦後の評価の低い松岡洋右に好意的であり、戦後の評価の高い東郷茂徳はとんでもない極悪人扱いとなっている。

私には、高尾氏の論の正邪を判定するだけの学識はないが、おそらくこの本の内容は正しい、と直観的に思う。それは、少なくとも松岡洋右への高い評価は、私と同じだからだ。

松岡洋右外相は、1941年7月16日の近衛内閣総辞職をもって首になった。それは彼が北進論を主張していたからである。

私たちが習った日本史では、松岡は、内閣が南進論を取る中、ひとり北進論を取る好戦論者であり、彼がいる限り、日米交渉はできないと、ハル国務長官から言われたがゆえに首になった、とされている。松岡性悪説である。

だが、「日米開戦の真実」では、まったく異なったニュアンスとなっている。つまり、ハルは松岡が正論を述べるゆえに、そして見込みのない日米交渉を長引かせるために松岡が邪魔であったがために、「松岡外相の失脚に動き出した」のである(同書p151)。

考えてみれば、松岡は1941年4月13日に、日ソ中立条約を調印しているわけで、彼が北進論を主張することには、矛盾がある。しかし、ナチスドイツは、1939年8月に結んだ独ソ不可侵条約を破棄して、1941年6月22日にソ連に攻め込んでおり、条約の信義などまったく当てにならなかったわけである。

当時の政府首脳の考えとは異なって松岡が北進論を唱えたのは、日本が参戦しなければ、ドイツはソ連に負けると考えていたためだと私は思う(ドイツはしかし、日本の参戦がなくとも勝てると考えていた。だから独ソ戦前は、ヒトラーは日本の南進を望んでいた(同書p110)。なお、当時は松岡も同じ理由で南進を主張していた。ただし、彼のいう”南進”は、対米刺激となる仏印ではなく、英領シンガポール攻略である。彼は、米英に楔を打とうとしていたのだ松岡洋右と大東亜戦争(3) |國民會館第3節

松岡はしかし、翌年には強硬に北進論を唱えはじめ、それが米国の利害とぶつかった訳である。

松岡はもともと、日独伊三国軍事同盟を基本とした、独自の対米戦回避戦略を持っていた。そのために、訪欧中には、正規の外交ルートを通じて、具体的には、駐ソ米国大使スタインハートと会談し、ルーズベルト大統領への伝言を依頼していた。

それと、米国の民間人による日米諒解案がバッティングしたわけだが、後者の工作を聞いた松岡は当然、怒り心頭だった。二重外交になっていたわけだから、それは、外相が怒るのは当然のことだっただろう。

なお、ウォルシュ司教とドラウト神父によるこの日米諒解案は、一説によれば、そもそもハル長官が時間稼ぎのために(欧州戦役参戦を米国民に理解させるために)二人の神父を使って仕掛けたと言われているが、「日米開戦の真実」では、もともと民間人発想の案であり、のちにそれを知ったハル長官が話に乗って利用した、ということになっている。

だが、ハル長官が最初から日米諒解案に関与していたのならば、なぜ同時に、ハル四原則なるものを提出したのだろうか?という疑問は残る。

さて、松岡はこの諒解案にうさん臭さを感じたが、大人の態度は示せなかった。外相としての彼の立場が完全に無視されたのだからそれは仕方がなかったのかもしれないが、ここで彼がもう少し大人として振舞っていたならば、戦後の彼の評価も、もう少しは変わっていたかもしれない。

この後松岡は、日米諒解案とは対照的な松岡修正案を出すが、実はハル長官は、暗号解読で、両者の内容を知っていた。この時点でもはや、外交交渉としては、日本は米国に完敗していたことになる。

そして1941年7月、松岡は更迭される。松岡というよりは、そもそも北進論が葬られたのである。万事休す。そこには米国からも日本国内からも、圧力があった。日本国内では、当時の近衛内閣の顧問だった尾崎秀実がソ連のスパイとして入り込み、ゾルゲとともに、日本を北進論へと導いた。おそらくは米国側も、ハル長官にそれを吹き込んだ共産党のスパイがいたことだろう。

ところで、日独伊三国同盟は外交上の失敗の典型のように言われているが、米国はそもそも日独を離間させようと懸命だった。それは、たとえば米海軍が英国商船団保護のコンボイをつけ、独米戦が開始された場合、日独が一緒であれば、三国同盟の自動参戦条項のために、日本から背後を脅かされる危険があったからである。つまり、三国同盟には、少なくとも締約時には、それだけの抑止力があったと言える。

日本が北進して、それがためにドイツがソ連に勝利していれば、松岡のこの戦略は戦後大いに高く評価されていたことだろう。むろん、そのためにはチャーチルがヒトラーとある程度は結ぶ必要があっただろうが。

結局はしかし、松岡が罷免されたことで、結果的に、残された日独伊三国同盟が日米交渉上の大足枷となってしまった。

三国同盟は史上最悪の外交的選択と今日では評価されていて、それに反対した海軍三羽烏(米内光政、山本五十六、井上)は戦後高く評価されているが、米内は女ったらしで第一次近衛声明を誘発した人、、山本はハワイ奇襲という最悪の作戦を作り、千代子という愛人がいて妻から嫌われていて、井上は戦下手で、この3人は決して英雄などとは言えたものではない。

松岡は後日、三国同盟を「ぼく、最大の不覚・・・」と述べていて、その失敗を認めてはいるが、彼としては、結果責任を負わざるを得ない、と感じていたのだろう。

歴史の流れの中に身を置けばむしろ、三国同盟は当時の歴史の必然であり、無論歴史は結果論でもあるので、現代でのその低評価はやむを得ないとしても、1940年時点に身を置いての評価もまた、必要だと感じる。

1940年9月 北部仏印進駐
1940年9月27日 日独伊三国同盟
1940年11月25日、アメリカからメリノール宣教会のジェームズ・E・ウォルシュ司教とジェームズ・ドラウト神父が来日
1941年1月23日 帰国したウォルシュとドラウトは、ハル国務長官、ウォーカー、ルーズベルトに経過を報告し、「日本提案」なる覚書を提出 ハルは懐疑的
三国同盟の破棄、中国における停戦、極東モンロー主義の承認、米国との経済関係の回復
1941年2月11日野村の着任
1941年2月井川が渡米。さらに後続として岩畔豪雄陸軍省軍務局軍事課長が転出し、3月に渡米することも内定
1941年3月8日 第一回野村―ハル会談
1941年3月17日 井川・ドラウトの協定案は「原則的協定案」としてまとまり
1941年4月9日 この草案は日米双方が修正を加えたうえで、一応の完成を見た[45]。これを受け取ったハル国務長官は3日間にわたって国務省極東部と検討したが、「提案の大部分は血気の日本帝国主義者が望むようなものばかりであった」とその内容に失望したが、交渉の糸口にすることとした
1941年4月16日「日米諒解案」として決着
1941年4月13日 日ソ中立条約調印
1941年4月16日 ハル国務長官は野村大使と会談し、ハル四原則を示したが、野村は四原則を添付せずに日米諒解案を米国案として、日本政府に送った

ハル4原則
①すべての国の領土と主権尊重
②他国への内政不干渉
③通商上の機会均等を含む平等の原則
④平和的手段によって変更される場合を除き太平洋の現状維持

1941年5月8日 松岡は、野村大使にハル国務長官宛のオーラルステートメント(口頭文書)を打電
1941年5月12日 松岡修正案
1941年6月7日 井川の素性がハルにばれて、ハル激怒
1941年6月21日 米国案
1941年6月22日 独ソ開戦
1941年7月15日 6月21の日米案への再修正案
1941年7月16日 第二次近衛内閣総辞職(松岡洋右更迭)


★洋上風力発電とEV
三菱商事、国内3海域の洋上風力撤退を表明 コスト上昇、採算取れず
8/27(水) 14:35配信
朝日新聞


 三菱商事は27日、千葉県と秋田県の沖合計3海域で計画する洋上風力発電事業から撤退すると発表した。物価高や円安などに伴う建設コストの高騰を受け、採算が取れないと判断した。

 三菱商事はプレスリリースで「地元の方々をはじめ、関係する皆様のご期待に応えられない結果となったことを重く受け止めております」などとコメントした。

 撤退するのは、秋田県能代市・三種町・男鹿市沖、秋田県由利本荘市沖、千葉県銚子市沖の3海域すべてになる。それぞれ三菱商事や中部電力の子会社などが企業連合を組み、国の公募に応じて、2021年12月に事業者に選ばれていた。28年以降に運転を始める予定で、3海域含めた発電規模は約170万キロワットと原発1.7基分にあたる。

 公募時に提示した売電価格は1キロワット時あたり11.99~16.49円で、国の想定や他社の提示額を大幅に下回る価格だった。

洋上風力発電入札の第1回(ラウンド1)の結果

No.289 検証洋上風力入札④ 12円はIRRゼロ前提の欧州コスト - 京都大学大学院 経済学研究科 再生可能エネルギー経済学講座
EVと洋上風力発電とは似たようなところがある。どちらもあらまほしき期待感が先行し過ぎて、現実が追い付いていない、ということである。そして不思議なことには、プロであればあるほど、このギャップに気づいていない、ということ。

素人の代表は私。どちらも、どうあっても普及などあり得ないことは、随分と前から指摘してきた。無論、私以外でも、クルマやエネルギー問題の素人が、同じような意見を述べてきた。絶対に普及などするはずがない、と。

だが不思議なことに、それぞれのプロたちは、これらの事象は、将来必ず普及するはずだ、として、それに取り組んできた。

EVについては、日産やホンダといった錚々たる自動車メーカーがこれを推進してきた。両社とも、エンジンを捨ててしまった。

そもそも欧州や中国がEVに固執したのは、エンジン技術では日本にかなわないからだった。そしてクルマのプロたちは、そんなことは当然知っていた。

それでもエンジンを捨ててしまったのは、結局のところ、「間違っているとはいえ、流れに乗らなければならない」という論理だった。EV化なんて無意味だ、と考えながらも、そうしなければやっていけない、という論理。

ひとりトヨタがそれを否定できたのは、おそらくは単純に、資本力が大きかったためだと思う。エンジンを残す余力が、トヨタにだけあったのだ。

しかしながらEVは、昨年からこけてしまった。やっとこの時点で、市場は
EVのNoを突きつけた。

プロたちは、このことはわからなかった。その流れの行先に疑問は持っていても、流れ自体がよどむことは予想できなかった。クルマのプロたちは、流れに乗ることばかりに頭が行っていて、当たり前のことに頭が行かなかった。

私のような素人は、何もヘンな流れに乗る必然性はないから、客観的に見られる。ある程度の理科の知識があれば、バッテリー技術の進歩には限界があり、したがってEVが実用性を持たないことは、はっきりしている。

結局、欧州や中国は、理科の法則を無視して日本に対抗してEV戦略に走ったが、理科の法則を超えることはできなかった。なまじ利害関係があると、当たり前のことが見えなくなるという、典型例だった。

洋上風力発電も同様である。もともと、建設やメンテナンスは、陸上風力発電より相当かかることは当たり前の話であり、さらに日本は、欧州よりもはるかに条件が悪い。たとえば、欧州の着床式洋上風力発電:8.6円/kWh、日本の着床式洋上風力発電:29円/kWh、日本の浮体式洋上風力発電:36円/kWhとなっている(洋上風力発電 発電コストの課題はこれから – 気候非常事態ネットワーク(climate emergency network: CEN))。三菱商事の落札額は、欧州の発電コストに近い額だったのだ(衝撃の「11.99円」、洋上風力3海域で、三菱商事系が落札 - ニュース - メガソーラービジネス plus : 日経BP)。

したがって、どうあってもペイするはずがないにもかかわらず、三菱商事どころか、秋田犬までが乗ってしまった。まさに、EVへの期待ど同じ。

岡目八目的に見れば、そもそも三菱商事の落札額自体が、非常識なものだったのだ。だが、関係者は利害に目がくらんでいて、目が曇っていた。

三菱商事の言い訳は、その後の物価高が撤退の原因だとのことだが、こんなことは言い訳に過ぎない。最初から採算が取れないことは明白だったのだから。


2025年、日本の洋上風力発電~今どうなってる?これからどうなる?~ |エネこれ|資源エネルギー庁

プロよりもアマチュアの方が正しく見られることもある
世の中が進んで便利になるということは、さまざまな分野での専門分化が進むということ。人間の能力には限りがあるのだから、それは当然のことだ。私たちは、専門家の意見を聞きながら生きていかざるを得ない。

だが、専門家が出した結論が常に正しいとは限らない。専門家はstake holderでもあることが多いので、その結論にいろいろなバイアスが入り込むために、得てして間違うことも多いのだ。

史上最大の失敗は何と言っても、大東亜戦争である。先日のNHK番組「総力戦研究所」では、戦争においてはアマチュアの各分野の専門家が下した、「日米戦不可」という結論を、戦う専門家は否定し、実際には、戦いにはアマチュアの人たちが予想した通りに、戦況が推移した。

実際には戦わない人たちの冷静な目が、戦う人には曇っていたのだ。それは、戦う人たちはまさに戦争のstake holderであり、彼等にはさまざまなバイアスがかかっていたためである。それはつまり、勝たねばならない→勝つはずだ→勝ちたい→勝てるように頑張る→何とかなる、というバイアスであり、専門家は結局、あらまほしき姿に振り回される。

EVにおいては欧州、中国が、自動車産業で日本に勝たなければならない→EVしかない→技術は何とかなる→何とかしたい→何とかするよう頑張る→頑張れば何とかなる、というバイアスがかかった。ホンダと日産は、是非に関わらず世界はEVだ→あと一緒、の流れに乗ってしまった。

洋上風力発電もまた、政府は、環境問題等で再エネを増やさねば→増やせるはずだ→増やしたい→増やせるよう頑張る→頑張れば何とかなる、のバイアスがかかった。公募したら、三菱商事がとんでもない好条件で応募してくれた。三菱商事には、絶好のもうけの機会だ→この落札価格でやらなければならない→やれるはずだ→やりたい→やれるよう頑張る→何とかなるダメなら撤退、のバイアスが働いた。秋田県にも同じバイアスがかかった。

stake holderとは無関係な立場なら、エポックメイキング的な技術革新でもない限り、EVも洋上風力発電も採算が取れないことはよくわかる。

昔から、岡目八目とはよく言ったものだ。

池田信夫と山本隆三の意見差について
池田信夫氏と山本隆三氏は、エネルギー政策において同一の歩調をこれまで取ってきていて、私もまったく同意見だったわけだが、実は三菱商事のこの撤退について、私は、他のYoutubeでmp山本氏の発言にはやや違和感を持っていた。その点、池田氏の意見は、100%納得のいくものだった。それではここで、両氏のYoutubeにおける発言を見てみよう。

山本氏は他のYoutubeにおいて、三菱商事のこの撤退を、洋上風力発電ないしは再エネ全体の問題とまでは見ていなかった。彼の意見では、あの三菱商事が乗った案件であり、はじき出した落札価格だったのであるから、その戦略自体は間違っていなかった、問題はやはり、三菱商事が言うようにインフレであり、撤退の主要因はインフレである、という見方なのである。

山本氏はエネルギー政策の専門家であり、自身も住友商事で石炭などを扱った経験があるので、あの極端に安い落札価格は、その時点では計算されつくしたものであり、合理的なものであったはずだ、だから失敗の原因は落札価格というよりインフレなのだ、との意見なのである。

確かに2021年当時は、洋上風力発電のコストはやや低下傾向にあり、欧米ではもっと安い価格で落札されていた。三菱商事としてはだから、あの安い価格でも十分に合理性があったと考えた、ということになる。

これに対して池田氏は、無論そうした要素は否定できないとしても,そもそも三菱商事があのような落札価格を設定したことに無理があった、さらに言えば,日本において洋上風力発電を期待することは無理だし(欧州でさえ、曲がり角にいる),さらに言えば,政府が再エネを今後もっと増やそうとしていること自体に無理がある、という,私とまったく同じ意見であった。

山本氏は池田氏の意見に反論はせず、ひたすら同意。おそらく彼の経歴ではあのようにしか言えなかったのだろうと思う。本当に言いたいことは池田氏に言ってもらい、自分としては、彼の意見に同意をすることで、自己意見の表示にした、ということなのだろう。

個人的には、池田氏の意見がもっと広まり、政府の今後のエネルギー政策は見直されなければならない、と思う。

たとえば政府は、2040年までに再エネ比率を倍増する計画である(下図)。

2040年度に再エネ比率「4~5割程度」に 政府、第7次エネルギー基本計画の原案公表:朝日新聞SDGs ACTION!

たとえば太陽光発電を15年後には、現在の10%を、2.5倍程度(23~29%)まで増やすつもりである。図示すると、下図のようになる。


確かに、ここ10年ほどの太陽光発電の伸び率は大きいものがあるが、政府はこれまでの伸び率があと15年もそのまま維持されることを前提としていることがわかる。

だが、現時点においてすでに、太陽光発電適地は減っており、釧路湿原や阿蘇などでは、環境問題になりはじめている。宇久島では、島の半分ほどを太陽光パネルで埋めつくすような計画が実現されようとしている。心ある人は、こうした自体に心を痛めている。自然エネルギーが、自然破壊エネルギーとなってしまっているのだ。

愚かにも政府は、こうした自然破壊を、今後もどしどし推し進めようとしている。

また、太陽光発電がここまで増えると、今後は、出力抑制の問題を無視できなくなるだろう。欧米なら電力輸出入で過剰の太陽光発電電力を調整できるが、日本ではそれができず、必然的に、過剰な電力は捨てざるを得ないからだ。今後、太陽光発電が2.5倍にもなると、もはやこれによる損失は無視できないものになるだろう。

さらに、廃棄パネルの問題も解決していない。そのリサイクル義務化については断念されてしまったし。

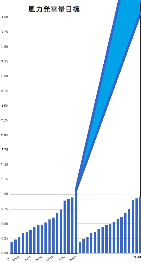
風力発電はもっとひどい。現在1%であるものを、なんと15年後にはこれを4~8倍にするというのだ。図示すると以下のようになる。


これでわかることは、太陽光発電の場合、これまでの増加率を保てば何とか2040年目標を達成することは可能のようだが、風力発電の場合は、加速が必要だということ。

奇妙なのは、目標値のほぼすべてが洋上風力発電となっていること。たとえば2020年12月に取りまとめられた「洋上風力産業ビジョン」では、政府目標として、2030年までに10ギガワット、2040年までに30~45ギガワットの洋上風力プロジェクト(案件)の形成が目標として設定されている。つまり、風力発電≒洋上風力発電、なのだ。

これはおそらく、すでに陸上風力発電を政府はあきらめている、ということ。あまりに評判が悪いので、もはやこれ以上は陸上風力をあてにはできない、ということ。すべての期待を洋上に向けている。

さらに危ういのは、このうちの15GWを、技術的に未確立な浮体式に頼っていること。日本近海の実情からして、こうせざるを得ないのだろうが、こんなのは野心的な目標というのではなく、無謀な目標、というのだ。

特に、現在の日本では、風力発電設備を作る技術がないのだが、浮体式ならゼロからできるから、日本に強みがある、としている点。これでは、トヨタのエンジンやHVに及ばないから、欧州がEVに走った(そして失敗した)のと同じ理屈ではないか?

初めにカーボンニュートラルありき、の悲劇
洋上風力発電への過度の期待は、日本だけではない。欧州においても、太陽光発電には限度があるし、陸上風力発電はもう適地がない。結局、目標値ー(陸上風力+太陽光)=洋上風力発電で、カーボンニュートラル目標のための帳尻合わせのために、洋上風力発電が使われている。当然のことながら、欧州でも撤退が相次いでいる。

最初にあらまほしき姿を作り上げ、それに現実を合わせようとするから、こういうことになる。顔があまりよくない男性をイケメンにしようとして、美容形成を繰り返して、結局その男性の顔をダメにしてしまうようなものだ。

世の中には無責任な人がいて、①原発はやめろ、②石炭はCO2が多いからやめろ、③火力発電はCO2を出すからやめろ、④再エネ100%にしろ、⑤そのために蓄電システムを構築せよ、技術開発に励め、などと平気で言う人がいる。そしてこうした声が、政策になっていった。

少なくとも①,②についてはかなりの国が採用し、イタリア、ドイツなどは本当に脱原発にしてしまった。ドイツは脱石炭にもなる予定だ。

そして驚いたことには、多くの国が③を採用したことだ。これぞカーボンニュートラル。わずか25年後に、なんと、石油や天然ガスの使用を辞めろ、という(中国レベルなら、森林伐採をどんどん進めて、山をはげ山にするだろう。そこに太陽光パネルを敷き詰める。これぞカーボンフリーだから)。むろん火力発電はご法度であるが、それまでに⑤が完成しているだろう、と。燃料は高価なアンモニアや水素になり、とんでもなく非効率になる。豊富にある石炭や石油、天然ガスを置き去りにして。

仮に世界政府が存在して(欧州委員会はそれに近いが)、2050年までのカーボンニュートラルを世界中に強制したら・・・

確かにCO2濃度は減るだろう。しかし世界中から森林がなくなり、光合成も怪しくなる。エネルギーを使えるのはごく少数の金持ち人間。彼らとて、結局は彼らだけで生きていけるわけではないので、人類は滅ぶことだろう。人類は、環境ではなく、環境対策で滅ぶのだ。

このような2050年までのカーボンニュートラル宣言によって、さまざまな政策はは、それに向かって逆算されることになった。

今回の三菱商事の破綻は、まさにそうした人類の愚かさへの、自然発生的警告であったのだ。これは決して、インフレや一企業だけの問題ではない。




ようこそDr.町田のホームページへ
令和5年ミニコラム